| Autor | Nachricht | 
        
			| Alibaber 
					Registriert: Mo 18. Mai 2009, 22:32
 Beiträge: 63
 Wohnort: 47574 Goch
   |   Einstellwerte SpurNabend,habe Heute keinen TÜV bekommen Spurstangenkopf vorne rechts außenausgeschlagen.
 Hat einer die Einstell Werte der Spur für den MGF Baujahr 1997?
 Finde nur die vom TF von 2004 oder sind das die gleichen??
 Sonst wurden keine Mägel festgestellt Prüfer war Beeindruckt
 vom zustand von meinem kleinen.
 
 
 | 
		
			| Do 21. Apr 2022, 22:56 | 
					
					   | 
	
	
		|  | 
	
			| BADBOY 
					Registriert: Do 18. Dez 2008, 00:49
 Beiträge: 1382
 Wohnort: Le Chêne, Provence-Alpes-Côte d’Azur
   |   Re: Einstellwerte SpurDas können bei F/TF nicht die selben sein. Sind nämlich komplett andere Fahrwerke. Die Werte solltest Du auf Dieters Seite finden.  _________________
 Dirk, der neu-Provinzler ;-)
 
 
 | 
		
			| Fr 22. Apr 2022, 09:12 | 
					
					   | 
	
	
		|  | 
	
			| Dieter 
					Registriert: Di 11. Nov 2008, 00:19
 Beiträge: 5192
 Wohnort: Waldhessen
   |   Re: Einstellwerte SpurSpur MGF ist so ne Sache.Meine Meinung, nie mehr zur Spureinstellung wenn die Hinterachse nicht mit Stichwort Compliance Washer (Abstandsscheiben) festgesetzt ist.
 Frag mal User *Rosenverkäufer* ob der noch welche liegen hat.
 
 Also erst die 4 Scheiben an der hinteren Spurstange montieren und beide Spiurstangenendstücke vorn und dann zur Laserspureinstellung. Da oben können Firmen wie Point-S usw das wohl ganz gut.
 Auf keinen Fall ne Billigbude mit ner Einachsvermessung aufsuchen.
 
 Werte .... das Forum ist voll damit.
 Mit besagten Abstandsscheiben grobe Richtung Spur Null beim MGF, mit besagten Scheiben hinten.
 
 Der Vorteil bei den Scheiben ist, dass z.B. zur Spureinstellung die Hinterachse sich nicht mehr schwabbelig kreuz und quer bewegen kann.
 _________________
 Gruß
 Dieter
 MGF/TF http://www.mgfcar.de
 Kein Support über E-Mail oder PM, Fragen bitte im Forum stellen!
 
 
 | 
		
			| Fr 22. Apr 2022, 10:59 | 
					
					     | 
	
	
		|  | 
	
			| Alibaber 
					Registriert: Mo 18. Mai 2009, 22:32
 Beiträge: 63
 Wohnort: 47574 Goch
   |   Re: Einstellwerte SpurJo erstmal danke für die Antworten ,kann da aber nicht wirklich was damit mit anfangen. Hatte dahmals das Problem mit der Spur Einstellung Ca 2004 Reifen vorne innen Abgefahren und bei dem Belastugstest zog er zur Seite. Hatte da die Einstellwerte mit zu einem Alt eingesessenen Reifenhändler mit genommen,der hat das dann danach eingestellt und alles war OK. Finde diese aber nicht mehr.    Den alten Reifenhändler gibt es leider nicht mehr. Ich werde erst mal die neuen Spurstangenköpfe ein bauen und dann die Achsvermessung machen lassen. Der kleine bekommt auch direkt neue Socken,die alten Pellen sind schon was älter. Mal schauen was wird. Gruß aus Goch Ali  
 
 | 
		
			| Sa 23. Apr 2022, 02:31 | 
					
					   | 
	
	
		|  | 
	
			| Michael N. 
					Registriert: So 22. Feb 2009, 20:26
 Beiträge: 1537
 Wohnort: Düren, NRW
   |   Re: Einstellwerte Spur_________________
 Gruß, Michael
 MGF/TF Stammtisch Köln
 
 Bremsen macht die Felgen dreckig!
 
 
 | 
		
			| Sa 23. Apr 2022, 07:23 | 
					
					     | 
	
	
		|  | 
	
			| Union Jack 
					Registriert: Mi 14. Mai 2014, 00:19
 Beiträge: 416
 Wohnort: Lummerland
   |   Re: Einstellwerte SpurMichael N. hat geschrieben:ich fahre schon lange mit den Werten von Nr. 5, gleich nach dem Umbau hinten auf PU-Buchsen, habe ich die Spurwerte geändert  und mich über die neue Agilität und das weniger gewordene Untersteuern gefreut...  _________________
 Grüße, Daniel
 
 
 | 
		
			| Sa 23. Apr 2022, 23:24 | 
					
					   | 
	
	
		|  | 
	
			| Alibaber 
					Registriert: Mo 18. Mai 2009, 22:32
 Beiträge: 63
 Wohnort: 47574 Goch
   |   Re: Einstellwerte SpurHallo, alles wieder Top     Spurstangenkopf gewechselt. Gemessen Markiert und Gewinde drehung gezählt. Vermessen alles Passt neue Socken drauf von Nexen,mal schauen ob die was taugen. Bis jetzt Super kleben richtig auf der Straße mal schauen wenn es nass ist. Gruß aus Goch Ali  
 
 | 
		
			| Di 10. Mai 2022, 00:10 | 
					
					   | 
	
	
		|  | 
	
			| TF1974 
					Registriert: So 29. Mai 2022, 09:51
 Beiträge: 12
 Wohnort: Beckum
   |   Re: Einstellwerte SpurHallo,
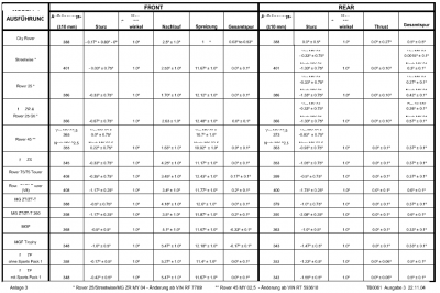
 ich darf mich kurz einklinken. Ich suche für meinen TF die richtigen Werte, konnte auf Dieters Seiten die Werte im Anhang finden. SInd das die richtigen bzw. aktuellsten Werte? Mein TF hat 16er und Standardfahrwerk.
 
 Hat jemand ggf. das technische Bulletin von 2004 hierzu?
 
 Gruß,
 
 Richard
 
 
 Dateianhänge: 
			 MGTF.jpg [ 108.84 KiB | 18672-mal betrachtet ]_________________
 MG TF 135 2002 Le Mans Green
 | 
		
			| Fr 1. Jul 2022, 11:44 | 
					
					   | 
	
	
		|  | 
	
			| Jlive 
					Registriert: Fr 20. Mai 2022, 06:22
 Beiträge: 38
 Wohnort: 59***
   |   Re: Einstellwerte SpurMoin, würde mich der Frage von TF 1974 anschließen. 
 
 | 
		
			| Di 5. Jul 2022, 08:37 | 
					
					   | 
	
	
		|  | 
	
			| TF1974 
					Registriert: So 29. Mai 2022, 09:51
 Beiträge: 12
 Wohnort: Beckum
   |   Re: Einstellwerte SpurHallo,
 auf
 
 mg-wiki . britische-klassiker . de
 
 gibt es ja auch Einstellwerte.
 
 Wenn ich mich nicht irre, weichen die Werte aber von o.g. Grafik ab.
 
 Was stimmt denn nun?
 
 Danke für Tipps.
 
 Gruß,
 
 Richard
 
 
 Dateianhänge: 
			 TB0061-6.png [ 67.14 KiB | 18266-mal betrachtet ] 
			 TB0061-5.png [ 68.62 KiB | 18266-mal betrachtet ]_________________
 MG TF 135 2002 Le Mans Green
 | 
		
			| Fr 22. Jul 2022, 18:52 | 
					
					   | 
	
	
		|  | 
	
			| Zotho 
					Registriert: So 21. Dez 2008, 08:26
 Beiträge: 366
 Wohnort: Andechs
   |   Re: Einstellwerte SpurHäng mich hier auch nochmal dran, welche Werte sind denn jetzt die richtigen?In meinem Fall TF ohne Sports Pack.
 Lass mir ja gerade neue Reifen aufziehen, und da die letzten paar Sätze immer keilförmig abgefahren wurden, gehe ich davon aus, dass die nicht ganz stimmt und würde sie nachstellen lassen.
 Danke an die Experten!
 _________________
 Gruß
 Stefan
 ,,Ein Auto ist nicht eine kalte Maschine;es hat eine Seele,es atmet." Zitat: Enzo Ferrari
 
 
 | 
		
			| Do 3. Nov 2022, 13:41 | 
					
					   | 
	
	
		|  | 
	
			| xpower 
					Registriert: Do 14. Mai 2009, 15:02
 Beiträge: 4962
   |   Re: Einstellwerte Spurdas sind die letzten Werte die MG rausgegeben hat. 
 
 | 
		
			| Do 3. Nov 2022, 14:18 | 
					
					   | 
	
	
		|  | 
	
			| Zotho 
					Registriert: So 21. Dez 2008, 08:26
 Beiträge: 366
 Wohnort: Andechs
   |   Re: Einstellwerte SpurDanke fürs Bestätigen und das offizielle Dokument! Super! Hab die Werte außer bei Dieter auf mgfcar.de auch hier gefunden: http://www.mgf-tf-central.co.uk/tt-running-gear.html Bei mir wurden laut altem Protokoll diese Werte eingestellt und speziell der Vorderrad-Sturz sieht mir schon sehr schwach aus: Sturz l/r -0 10/0°14, Nachlauf l/r 4°49/6°28, Spur l/r 0°01/0°01 Das würde auch erklären, warum ich vorne die reifen außen stärker abfahre als innen. Muss ich echt korrigieren lassen._________________
 Gruß
 Stefan
 ,,Ein Auto ist nicht eine kalte Maschine;es hat eine Seele,es atmet." Zitat: Enzo Ferrari
 
 
 | 
		
			| Do 3. Nov 2022, 14:41 | 
					
					   | 
	
	
		|  | 
	
			| Dieter 
					Registriert: Di 11. Nov 2008, 00:19
 Beiträge: 5192
 Wohnort: Waldhessen
   |   Re: Einstellwerte SpurDas Bulletin TB0061 wird schon richtig sein.Die Werte bei mir sind vom Handbuch. Dito bei der FAQ.
 
 @ Stefan .... und der Sturz hat bei unseren Dingern eher nichts mit Reifenabrieb zu tun. Da wird bei dir was mit der Spur vorn n.i.O. sein, Abrieb aussen deutet auf Vorspur hin.
 
 PS ich lösch die Tabelle bei mir auf der Seite gelegentlich und packt das Bulletin rein.
 _________________
 Gruß
 Dieter
 MGF/TF http://www.mgfcar.de
 Kein Support über E-Mail oder PM, Fragen bitte im Forum stellen!
 
 
 | 
		
			| Fr 4. Nov 2022, 16:42 | 
					
					     | 
	
	
		|  |